• Предмет: Алгебра
  • Автор: mr0ilyha
  • Вопрос задан 9 лет назад

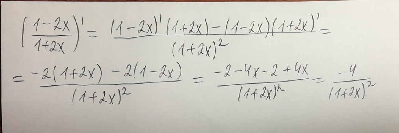
производная , помогите

Приложения:

Ответы

Ответ дал: Inna0512
0
Вычислить производную.
Приложения:
Вас заинтересует