• Предмет: Алгебра
  • Автор: dhalitov8
  • Вопрос задан 9 лет назад

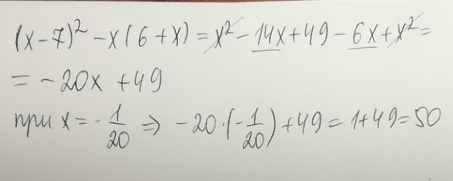
найдите значение выражения (х-7)^2-х(6+х) при х=-1/20 помогите пожалуйста

Ответы

Ответ дал: Inna0512
0
Найти значение выражения
Приложения:
Вас заинтересует