• Предмет: Алгебра
  • Автор: белка2028
  • Вопрос задан 9 лет назад

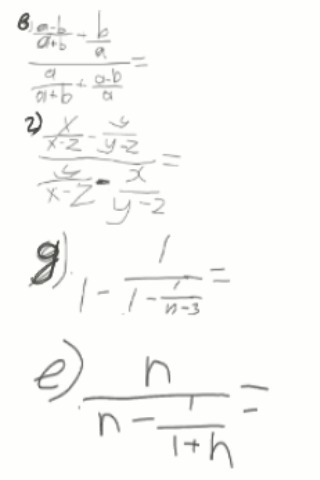
помогите пожалуйста решить

Приложения:

Ответы

Ответ дал: 11kira2006
0
в)  а-2б/б
г)  х-у/х-2z-у
Вас заинтересует