Ответы
Ответ дал:
0
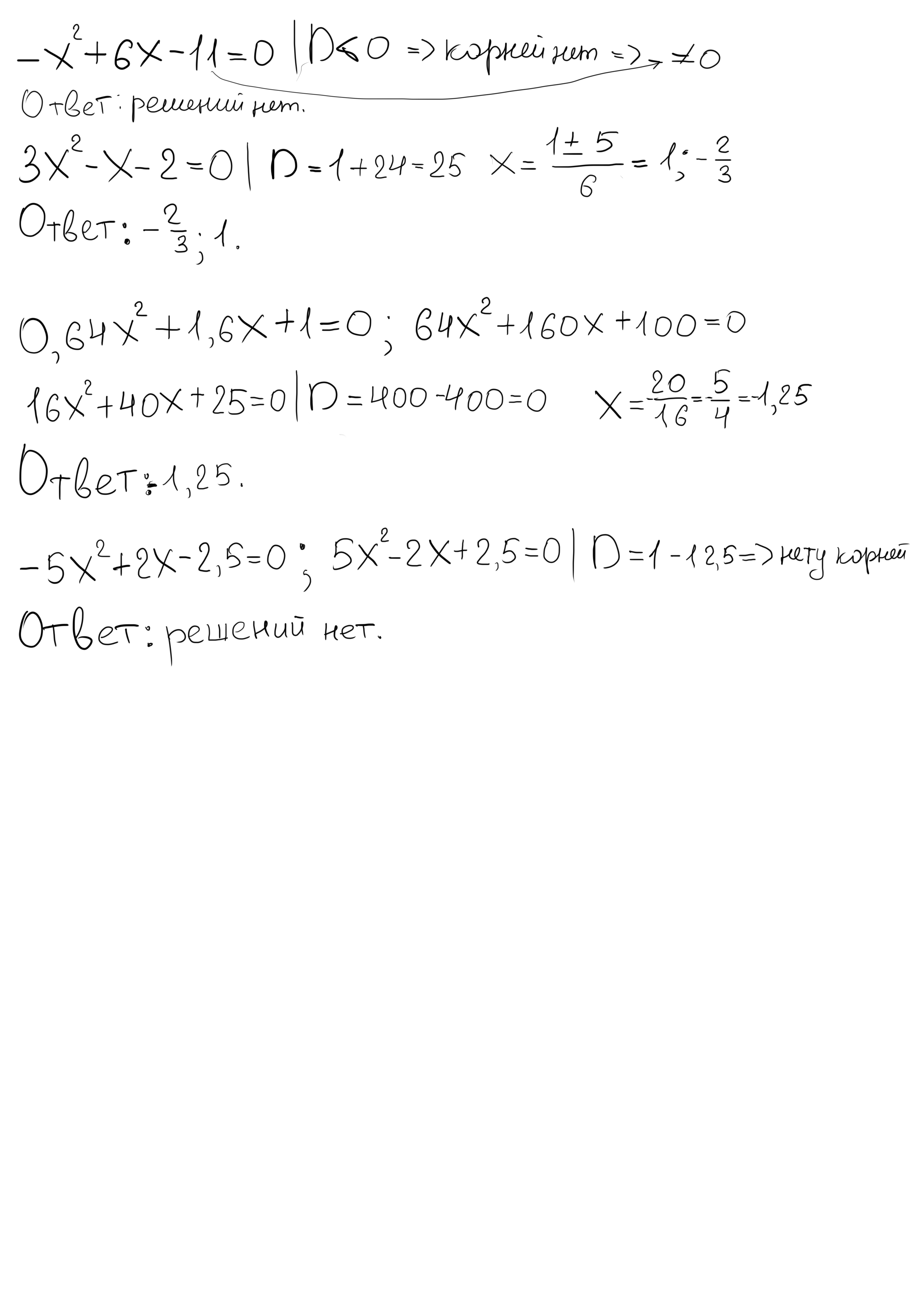
вроде все правильно, но лучше проверить
Приложения:

Вас заинтересует
3 года назад
3 года назад
9 лет назад
10 лет назад