Ответы
Ответ дал:
0
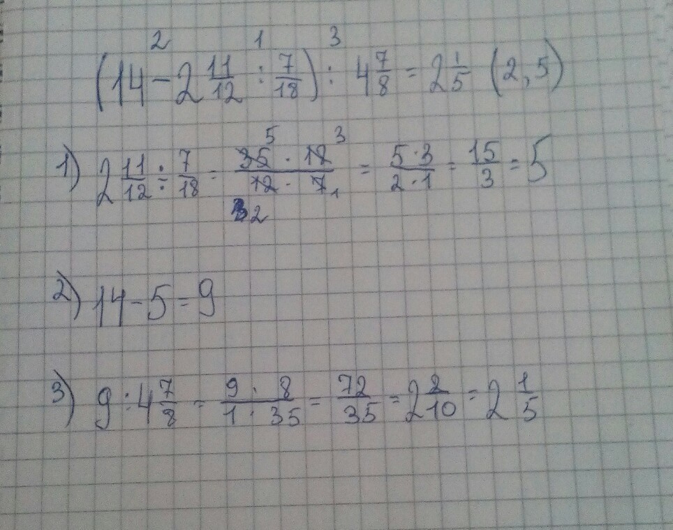
Вот решение. лайкни если правильно
Приложения:

Ответ дал:
0
Там 2 а не 3
Вас заинтересует
2 года назад
2 года назад
9 лет назад
10 лет назад