• Предмет: Алгебра
  • Автор: kolgon2001ox2u8p
  • Вопрос задан 9 лет назад

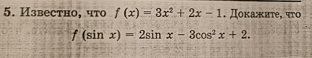
Объясните пожалуйста как это решить

Приложения:

Ответы

Ответ дал: krolikzajcev
0

Подставить вместо икс синус, потом вместо синуса в квадрате подставить 1 минус косинус в квадрате, раскрыть скобки и привести подобные.

Вас заинтересует