• Предмет: Математика
  • Автор: mashasumashedsoziogw
  • Вопрос задан 9 лет назад

789/10 стобиком, помогите пожалуйста

Ответы

Ответ дал: luiza1504
0
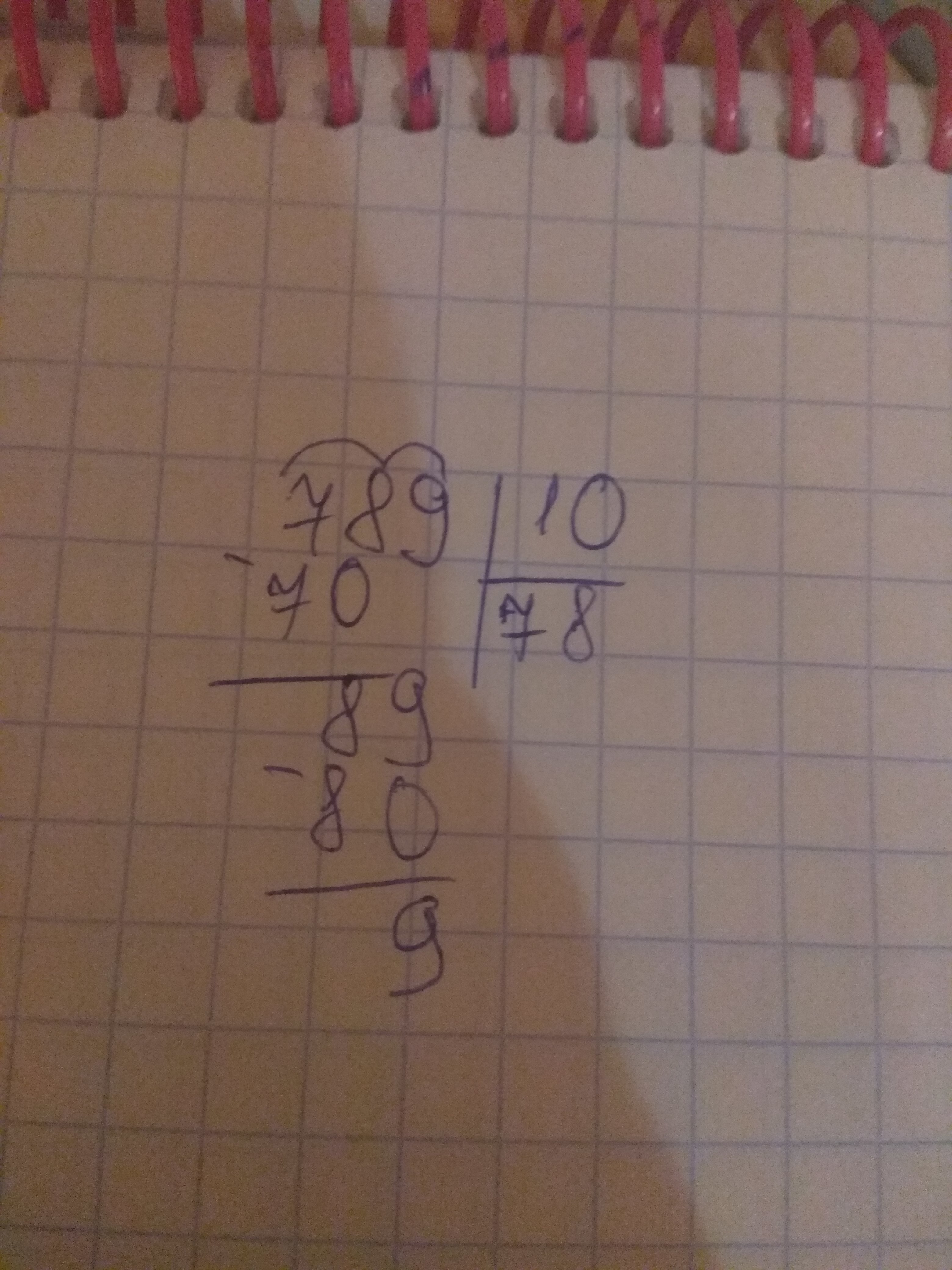
    789 | 10
 -  70     78                    
      89
  -   80
         9 (остаток)
789 : 10 = 78,9
Ответ дал: luiza1504
0
Мне важно, чтобы люди оценивали лучшие ответы, так что не забывайте про это)))
Ответ дал: luiza1504
0
Mне осталось заработать всего-то один лучший ответ до нового уровня...
Ответ дал: Гы44
0
Надеюсь правильно....
Приложения:
Ответ дал: luiza1504
0
А я пошла по сложному пути ;DDD
Ответ дал: Гы44
0
:DDD
Вас заинтересует