Ответы
Ответ дал:
0
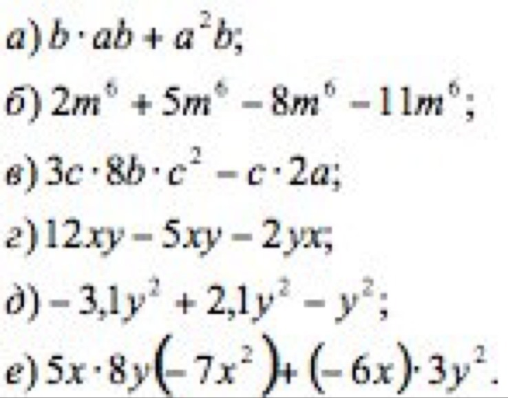
1) ... = ab^2 +a^2b=ab(b+a)
2) ...= -12m^6
3) ...=24bc^3-2ac=2c(12bc^2-a)
4) ...= 5xy
5) ..= -2y^2
6) ...=-280x^3y-18xy^2=-xy(280x^2+18y)
я не уверена, но вдруг поможет
2) ...= -12m^6
3) ...=24bc^3-2ac=2c(12bc^2-a)
4) ...= 5xy
5) ..= -2y^2
6) ...=-280x^3y-18xy^2=-xy(280x^2+18y)
я не уверена, но вдруг поможет
Вас заинтересует
2 года назад
9 лет назад
9 лет назад
10 лет назад