Ответы
Ответ дал:
0
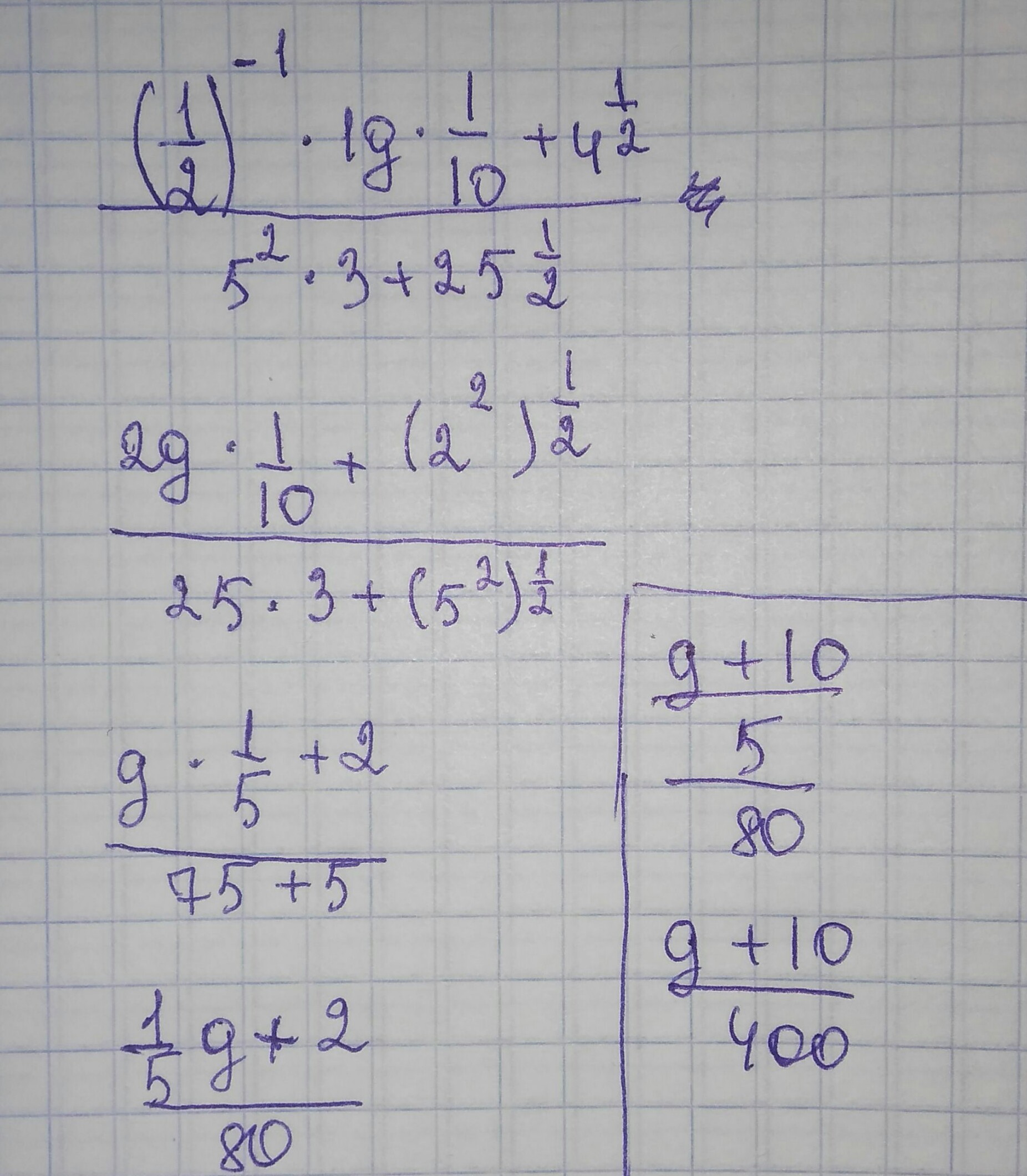
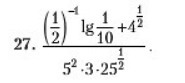
Вроде бы так...))))))))
Приложения:

Ответ дал:
0
там должно получиться - 0
Ответ дал:
0
решение не правильное получилось:(
Вас заинтересует
2 года назад
2 года назад
3 года назад
3 года назад