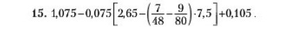
пожалуйста, помогите решить пример! никак не получается решить так что бы сошлось с ответом...
Приложения:

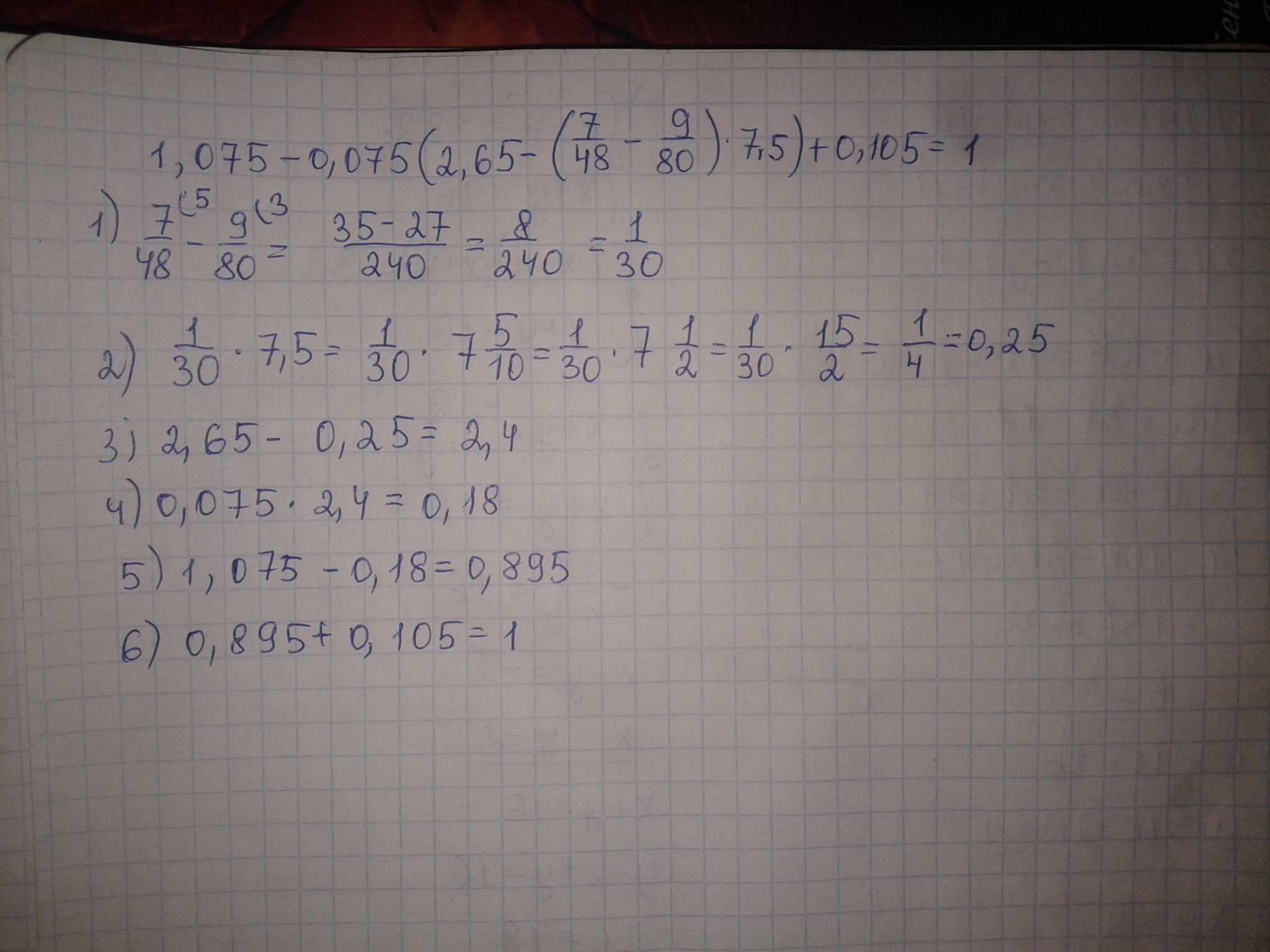
Ответы
Ответ дал:
0
................................
Приложения:

Вас заинтересует
2 года назад
2 года назад
3 года назад
3 года назад
9 лет назад
10 лет назад