Ответы
Ответ дал:
0
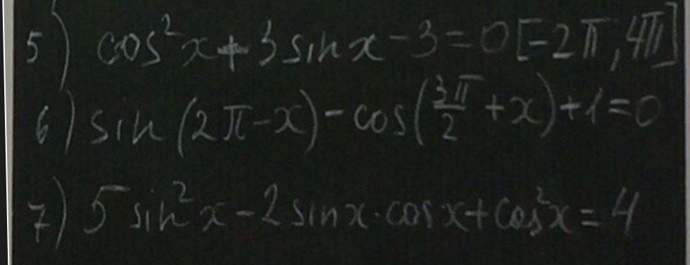
1)

2)

Упростим уравнение через формулы приведения.

3)

Разделим все на

2)
Упростим уравнение через формулы приведения.
3)
Разделим все на
Ответ дал:
0
Огромное спасибо за помощь !
Вас заинтересует
2 года назад
2 года назад
3 года назад
3 года назад
9 лет назад
10 лет назад
10 лет назад