Решите пожалуйста тренировочную работу номер семь мы в школе проходим способ замещения
Приложения:

Ответы
Ответ дал:
0
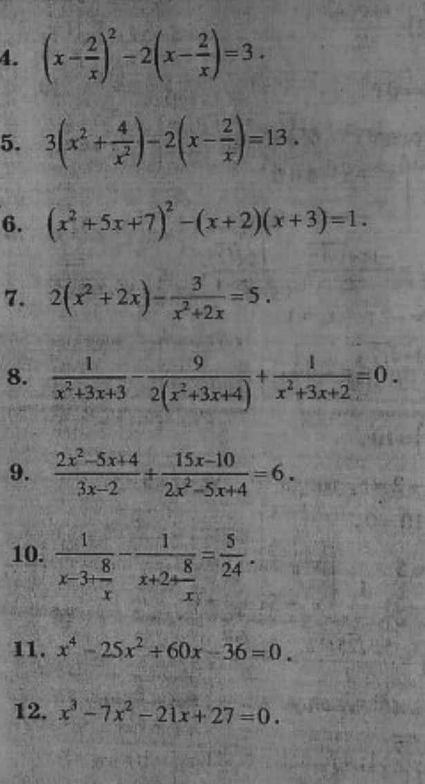
2*(x²+2x)-3/(x²+2x)=5
Пусть x²+2x=t ⇒
2t-3/t=5
2t²-5t-3=0 D=49
t₁=3 x²+2x=3 x²+2x-3=0 D=16 x₁=1 x₂=-3
t₂=-0,5 x²+2x=0,5 x²+2x+0,5=0 D=2 x₃=-1+√2/2 x₄=-1-√2/2.
Пусть x²+2x=t ⇒
2t-3/t=5
2t²-5t-3=0 D=49
t₁=3 x²+2x=3 x²+2x-3=0 D=16 x₁=1 x₂=-3
t₂=-0,5 x²+2x=0,5 x²+2x+0,5=0 D=2 x₃=-1+√2/2 x₄=-1-√2/2.
Вас заинтересует
2 года назад
2 года назад
3 года назад
3 года назад
9 лет назад
9 лет назад
10 лет назад