• Предмет: Геометрия
  • Автор: Yoshimura
  • Вопрос задан 9 лет назад

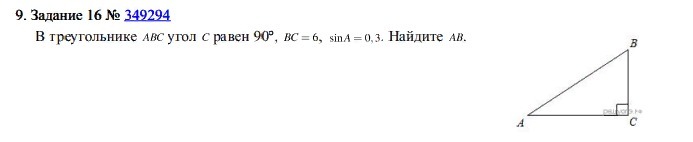
В тре­уголь­ни­ке ABC угол C равен 90°, BC = 6, sin A = 0,3. Най­ди­те AB.

Приложения:

Ответы

Ответ дал: altalka
0
синус это отношение противолежащего катета к гипотенузе
 значит BC/AB=0,3      3*AB=10*BC    AB= (6*10)/3   AB=20
Вас заинтересует