• Предмет: Геометрия
  • Автор: wokef1
  • Вопрос задан 9 лет назад

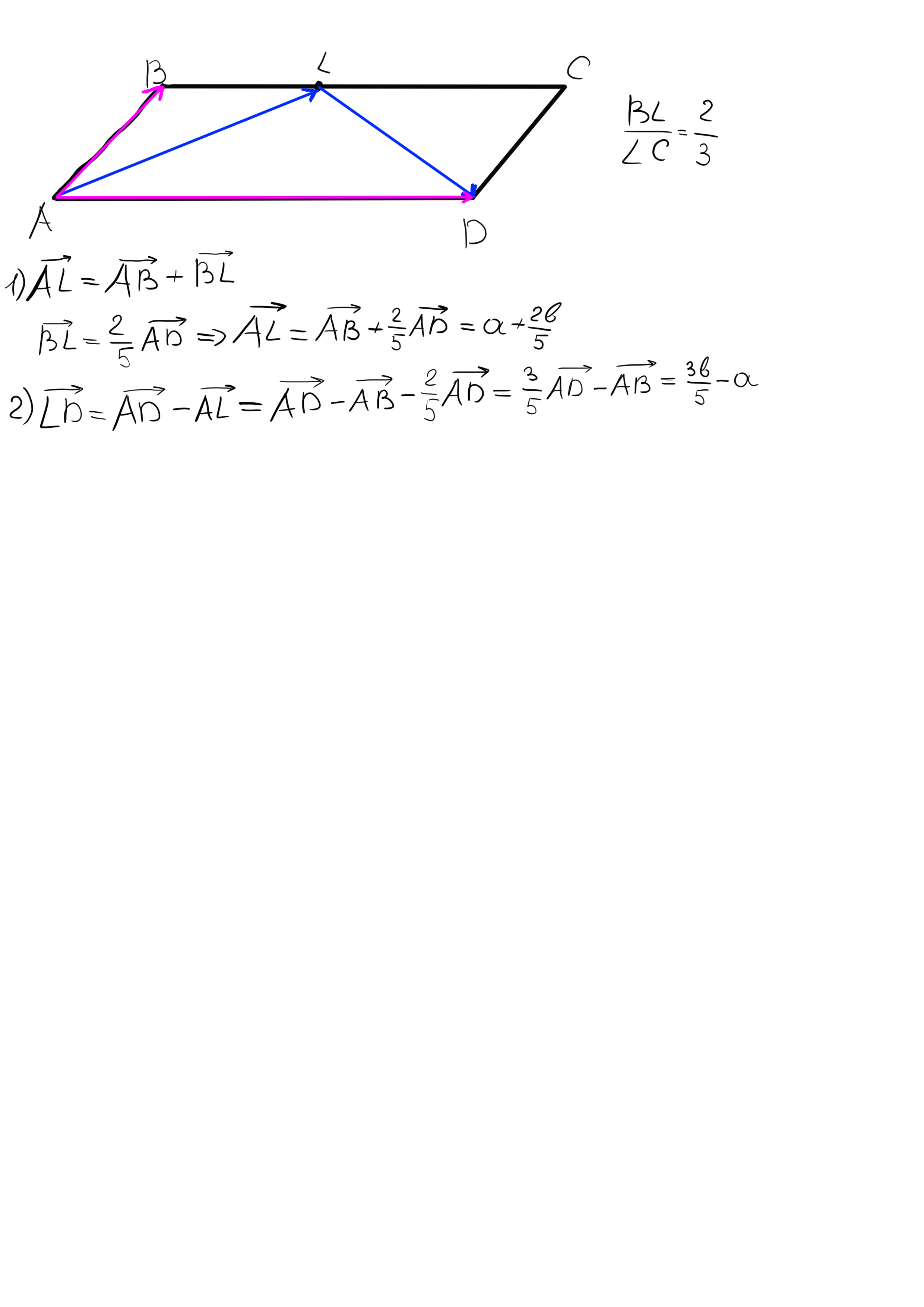
В параллелограмме ABCD точка L делит сторону BC на части BL:LC=2:3 выразите векторы AL и LD через векторы AB=a и AD=b

срочно СРОЧНО

Ответы

Ответ дал: Kirik009
0
написал на листе решение
Приложения:
Вас заинтересует