• Предмет: Алгебра
  • Автор: dashullya2001
  • Вопрос задан 9 лет назад

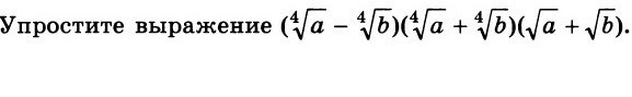
ПОМОГИТЕ УПРОСТИТЬ ВЫРАЖЕНИЕ!!! Алгебра!!! ДАМ МНОГО БАЛЛОВ

Приложения:

Ответа на этот вопрос пока нет. Попробуйте найти его через форму поиска.

Вас заинтересует