• Предмет: Алгебра
  • Автор: allagureva
  • Вопрос задан 9 лет назад

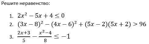
Пожалуйста, помогите решить неравенства))

Приложения:

Ответы

Ответ дал: miron2077
0
!!!!!!!!!!!!!!!!!!!!!!!!
Приложения:
Ответ дал: allagureva
0
Спасибо)
Ответ дал: miron2077
0
пожалуйста!
Вас заинтересует