• Предмет: Математика
  • Автор: sgjsgkj5y
  • Вопрос задан 9 лет назад

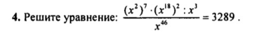
РЕШИТЕ УРАВНЕНИЕ ЗАРАНЕЕ СПАСИБО

Приложения:

Ответы

Ответ дал: IrkaShevko
0
х^(2*7+18*2-3-46) = 3289

х^(14+36-49) = х^1 = 3289

Ответ: 3289
Вас заинтересует