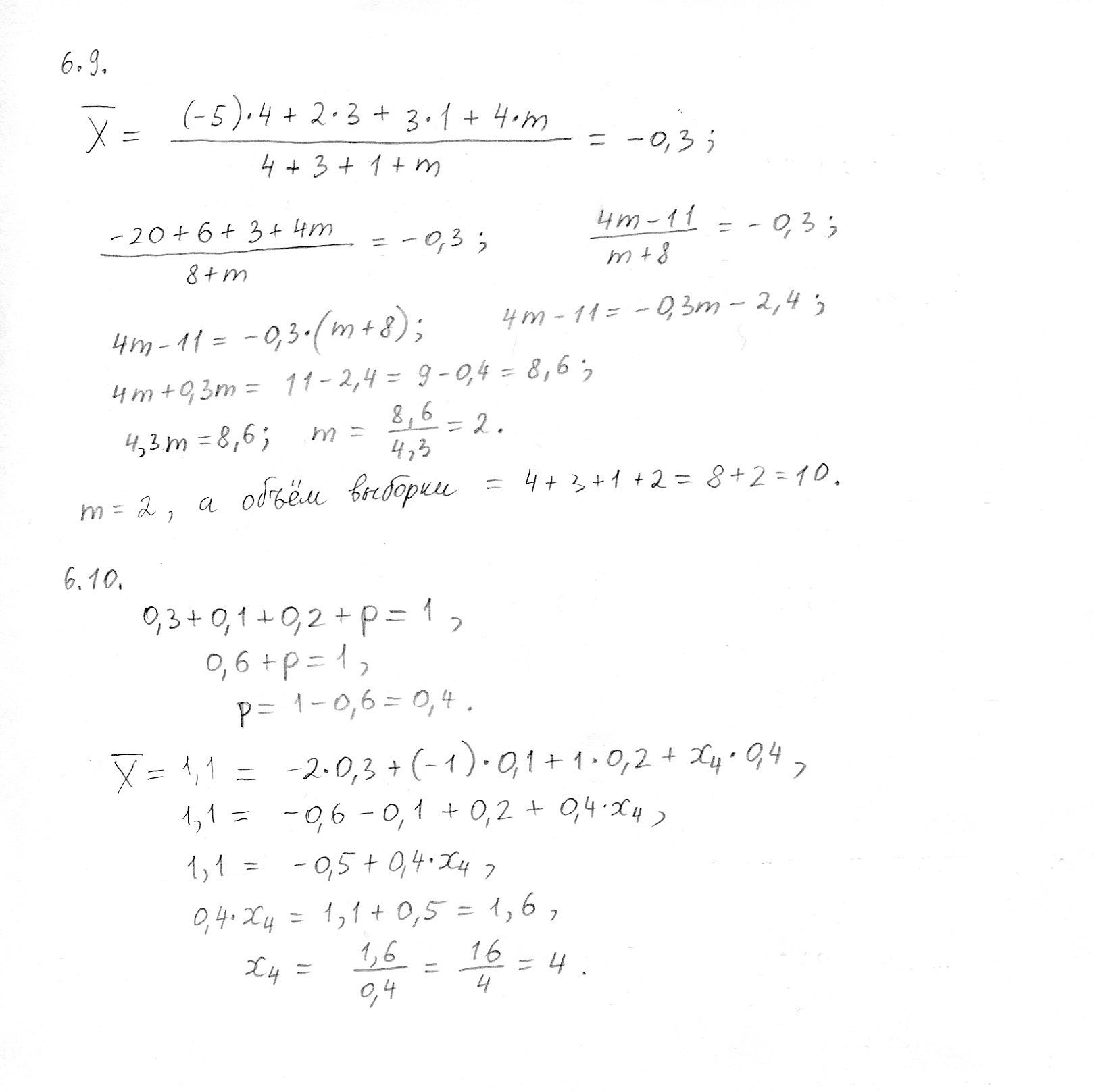
6.9. Найдите m и объем выборки, если среднее арифметическое значение выборки со следующей таблицы равно X = −0,3.
6.10. Дана таблица относительных частот случайной величины:
Приложения:


Ответы
Ответ дал:
0
Я написал решение на листочке...
Приложения:

Ответ дал:
0
спасибо
Ответ дал:
0
норм,спасибо
Вас заинтересует
2 года назад
2 года назад
3 года назад
3 года назад
9 лет назад
9 лет назад
10 лет назад