Ответы
Ответ дал:
0
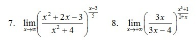
Второй замечательный предел в помощь:
![displaystyle lim_{x to infty} (frac{x^2+2x-3}{x^2+4})^frac{x-3}{5}=(frac{infty}{infty})^infty=lim_{x to infty} (frac{x^2+4+2x-7}{x^2+4})^frac{x-3}{5}=\=[lim_{x to infty} (1+frac{1}{frac{x^2+4}{2x-7}})^frac{x^2+4}{2x-7}]^{frac{2x-7}{x^2+4}*frac{x-3}{5}}=e^{displaystyle{lim_{x to infty}frac{2x^2-13x+21}{5x^2+20}}}=\=e^{displaystyle{lim_{x to infty}frac{x^2(2-frac{13}{x}^{to 0}+frac{21}{x^2}^{to 0})}{x^2(5+frac{20}{x^2}^{to 0})}}}=e^frac{2}{5} displaystyle lim_{x to infty} (frac{x^2+2x-3}{x^2+4})^frac{x-3}{5}=(frac{infty}{infty})^infty=lim_{x to infty} (frac{x^2+4+2x-7}{x^2+4})^frac{x-3}{5}=\=[lim_{x to infty} (1+frac{1}{frac{x^2+4}{2x-7}})^frac{x^2+4}{2x-7}]^{frac{2x-7}{x^2+4}*frac{x-3}{5}}=e^{displaystyle{lim_{x to infty}frac{2x^2-13x+21}{5x^2+20}}}=\=e^{displaystyle{lim_{x to infty}frac{x^2(2-frac{13}{x}^{to 0}+frac{21}{x^2}^{to 0})}{x^2(5+frac{20}{x^2}^{to 0})}}}=e^frac{2}{5}](https://tex.z-dn.net/?f=displaystyle++lim_%7Bx+to+infty%7D+%28frac%7Bx%5E2%2B2x-3%7D%7Bx%5E2%2B4%7D%29%5Efrac%7Bx-3%7D%7B5%7D%3D%28frac%7Binfty%7D%7Binfty%7D%29%5Einfty%3Dlim_%7Bx+to+infty%7D+%28frac%7Bx%5E2%2B4%2B2x-7%7D%7Bx%5E2%2B4%7D%29%5Efrac%7Bx-3%7D%7B5%7D%3D%5C%3D%5Blim_%7Bx+to+infty%7D+%281%2Bfrac%7B1%7D%7Bfrac%7Bx%5E2%2B4%7D%7B2x-7%7D%7D%29%5Efrac%7Bx%5E2%2B4%7D%7B2x-7%7D%5D%5E%7Bfrac%7B2x-7%7D%7Bx%5E2%2B4%7D%2Afrac%7Bx-3%7D%7B5%7D%7D%3De%5E%7Bdisplaystyle%7Blim_%7Bx+to+infty%7Dfrac%7B2x%5E2-13x%2B21%7D%7B5x%5E2%2B20%7D%7D%7D%3D%5C%3De%5E%7Bdisplaystyle%7Blim_%7Bx+to+infty%7Dfrac%7Bx%5E2%282-frac%7B13%7D%7Bx%7D%5E%7Bto+0%7D%2Bfrac%7B21%7D%7Bx%5E2%7D%5E%7Bto+0%7D%29%7D%7Bx%5E2%285%2Bfrac%7B20%7D%7Bx%5E2%7D%5E%7Bto+0%7D%29%7D%7D%7D%3De%5Efrac%7B2%7D%7B5%7D)
------------------------------------------------------------------------
![displaystyle lim_{x to infty} (frac{3x}{3x-4})^frac{x^3+1}{2+x}=(frac{infty}{infty})^infty= lim_{x to infty} (frac{3x-4+4}{3x-4})^frac{x^3+1}{2+x}=\= [lim_{x to infty} (1+frac{1}{frac{3x-4}{4}})^frac{3x-4}{4}]^{frac{4}{3x-4}*frac{x^3+1}{2+x}}=e^{displaystylelim_{x to infty}frac{4x^3+4}{3x^2+2x-8}}=\=e^{displaystylelim_{x to infty}frac{x^3(4+frac{4}{x^3}^{to 0})}{x^3(frac{3}{x}^{to 0}+frac{2}{x^2}^{to 0}-frac{8}{x^3}^{to 0})}}=e^infty=infty displaystyle lim_{x to infty} (frac{3x}{3x-4})^frac{x^3+1}{2+x}=(frac{infty}{infty})^infty= lim_{x to infty} (frac{3x-4+4}{3x-4})^frac{x^3+1}{2+x}=\= [lim_{x to infty} (1+frac{1}{frac{3x-4}{4}})^frac{3x-4}{4}]^{frac{4}{3x-4}*frac{x^3+1}{2+x}}=e^{displaystylelim_{x to infty}frac{4x^3+4}{3x^2+2x-8}}=\=e^{displaystylelim_{x to infty}frac{x^3(4+frac{4}{x^3}^{to 0})}{x^3(frac{3}{x}^{to 0}+frac{2}{x^2}^{to 0}-frac{8}{x^3}^{to 0})}}=e^infty=infty](https://tex.z-dn.net/?f=displaystyle++lim_%7Bx+to+infty%7D+%28frac%7B3x%7D%7B3x-4%7D%29%5Efrac%7Bx%5E3%2B1%7D%7B2%2Bx%7D%3D%28frac%7Binfty%7D%7Binfty%7D%29%5Einfty%3D+lim_%7Bx+to+infty%7D+%28frac%7B3x-4%2B4%7D%7B3x-4%7D%29%5Efrac%7Bx%5E3%2B1%7D%7B2%2Bx%7D%3D%5C%3D+%5Blim_%7Bx+to+infty%7D+%281%2Bfrac%7B1%7D%7Bfrac%7B3x-4%7D%7B4%7D%7D%29%5Efrac%7B3x-4%7D%7B4%7D%5D%5E%7Bfrac%7B4%7D%7B3x-4%7D%2Afrac%7Bx%5E3%2B1%7D%7B2%2Bx%7D%7D%3De%5E%7Bdisplaystylelim_%7Bx+to+infty%7Dfrac%7B4x%5E3%2B4%7D%7B3x%5E2%2B2x-8%7D%7D%3D%5C%3De%5E%7Bdisplaystylelim_%7Bx+to+infty%7Dfrac%7Bx%5E3%284%2Bfrac%7B4%7D%7Bx%5E3%7D%5E%7Bto+0%7D%29%7D%7Bx%5E3%28frac%7B3%7D%7Bx%7D%5E%7Bto+0%7D%2Bfrac%7B2%7D%7Bx%5E2%7D%5E%7Bto+0%7D-frac%7B8%7D%7Bx%5E3%7D%5E%7Bto+0%7D%29%7D%7D%3De%5Einfty%3Dinfty)
------------------------------------------------------------------------
Вас заинтересует
2 года назад
3 года назад
3 года назад
9 лет назад
9 лет назад
10 лет назад