• Предмет: Алгебра
  • Автор: olaola350
  • Вопрос задан 9 лет назад

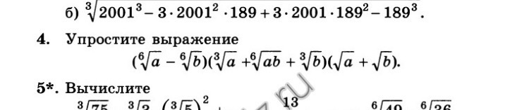
РЕШИТЕ ПОЖАЛУЙСТА 4 НОМЕР ОЧЕНЬ НАДО!!!

Приложения:

Ответы

Ответ дал: Санечка69
0
здесь надо увидеть формулу разности кубов
(a - b)(a² +ab + b²) = a³ - b³
Тогда получим:
(√а - √b)(√a + √b) = a - b

Ответ дал: olaola350
0
Спасибо большое за объяснение!
Вас заинтересует