• Предмет: Физика
  • Автор: grrek2014ozkzbn
  • Вопрос задан 9 лет назад

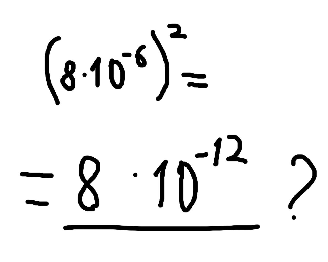
Хелпа
Правильно или 8 тоже в степень нужно возвести?

Приложения:

Ответы

Ответ дал: EveryDay14
0
Все верно,только и 8 надо возвести во 2 степень
Ответ дал: Аноним
0
Значит не все верно...
Вас заинтересует