• Предмет: Физика
  • Автор: FreshBast
  • Вопрос задан 9 лет назад

Срочно помогите решить, физика 10 класс
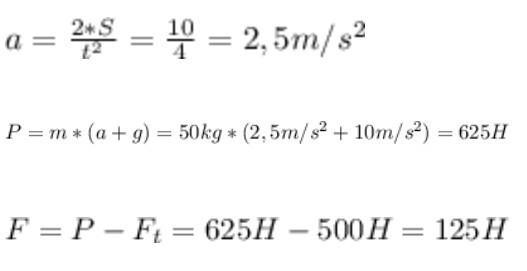
Груз массой 50 кг поднимают равноускоренно вертикально вверх при помощи каната в течение 2 с. на высоту 5 м. Начальная скорость груза была равна нулю. С какой силой действует канат на груз, если земля притягивает груз силой 500Н?

Ответы

Ответ дал: dianahaski
0
a= 2*S: t^2=10:4=2,5m/s^2
Приложения:
Вас заинтересует