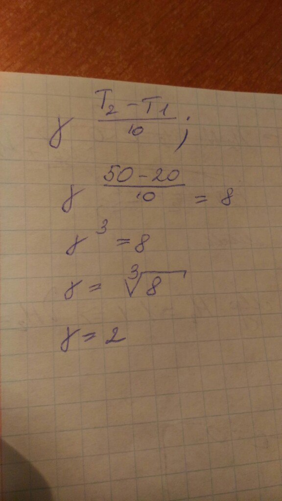
Скорость некоторой реакции при температуре изменении от 20 до 50 , изменилась на 8 раз.Чему равен темп кафициента этой реакции
Ответы
Ответ дал:
0
Задание на знание уравнения Вант-Гоффа. Решение на фотографии.
Приложения:

Вас заинтересует
2 года назад
2 года назад
3 года назад
3 года назад
9 лет назад
9 лет назад
10 лет назад
10 лет назад