• Предмет: Алгебра
  • Автор: ryazaeva23
  • Вопрос задан 9 лет назад

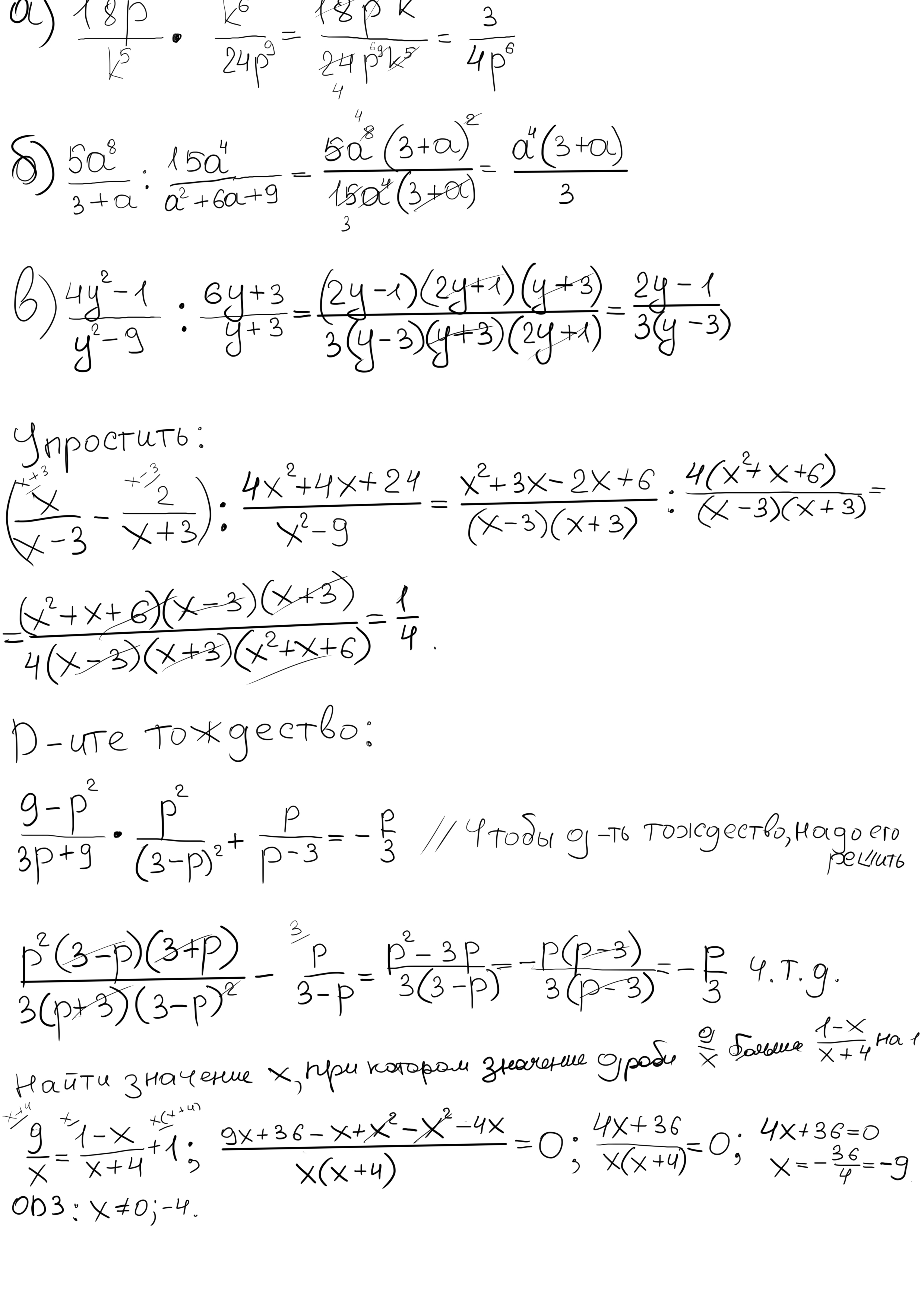
Помогите пожалуйста решить:Выполни действия а) 18р^3/k^5*k^6/24p^9 ; б) 5a^8/3+a:15a^4/a^2+6a+9 ; в) 4y^2-1/y^2-9:6y+3/y+3 Упрости выражение (х/ х-3-2/х+3):4х^2+4x+24/x^2-9 Докажите тождество 9-p^2/3p+9*p^2/(3-p)^2+p/p-3=-p/3 Найдите значение Х, при котором значение дроби 9/х больше 1-х /х+4 на 1

Ответы

Ответ дал: Kirik009
0
вроде все правильно, но лучше проверить
Приложения:
Вас заинтересует