Решить уравнение методом введения новой переменной; в ответ записать сумму корней;
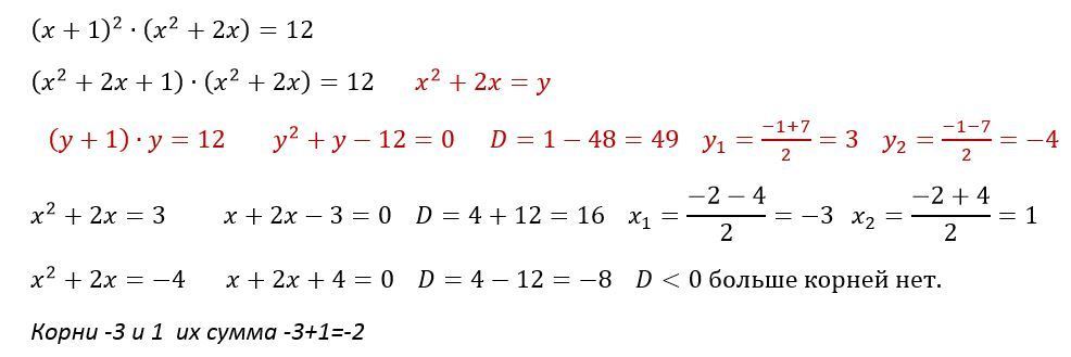
(x+1)^2*(x+2x)=12
Ответы
Ответ дал:
0
если с условием всё в порядке, то решение такое.
Приложения:

Вас заинтересует
2 года назад
2 года назад
3 года назад
3 года назад
9 лет назад
10 лет назад