• Предмет: Алгебра
  • Автор: sashkaveber
  • Вопрос задан 9 лет назад

Помогите
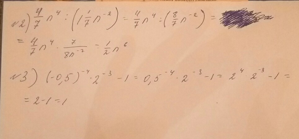
2 упростите выражение
3 найдите значение выражения

Приложения:

Ответы

Ответ дал: mira129
0
надеюсь, что правильно
Приложения:
Ответ дал: Санечка69
0
2. 4/7n⁴ : (8/7n⁻²) = 1/2n⁶
3. (2⁻¹)⁻⁴ · 2⁻³ - 1 = 2⁴ · 2⁻³ - 1 = 2 - 1 = 1
Приложения:
Вас заинтересует