• Предмет: Математика
  • Автор: semenasaevich
  • Вопрос задан 9 лет назад

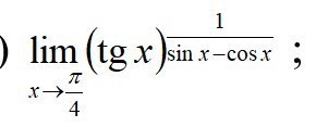
Вычислить предел. Необходимо подробное решение

Приложения:

Ответы

Ответ дал: IrkaShevko
0
 lim_{x to  frac{ pi }{4} } (tgx)^ frac{1}{sinx-cosx} = lim_{x to  frac{ pi }{4} } (((1+(tgx-1))^ frac{1}{tgx-1} )^{tgx-1})^ frac{1}{sinx-cosx}=\
lim_{x to  frac{ pi }{4} } (((1+(tgx-1))^ frac{1}{tgx-1} )^{ frac{sinx-cosx}{cosx}})^ frac{1}{sinx-cosx}=\
=lim_{x to  frac{ pi }{4} } (((1+(tgx-1))^ frac{1}{tgx-1} )^ frac{1}{cosx}=\
=e^{ lim_{x to  frac{ pi }{4} }  frac{1}{cosx}  }=e^{ frac{1}{cos frac{ pi }{4} } }=e^ frac{1}{ frac{ sqrt{2} }{2} } =\=e^ sqrt{2}
Вас заинтересует