1.Составить блок-схему , которая сравнивает два числа, введенные с клавиатуры. Блок-схема должна указывать, какое число больше, или, если числа равны, вывести соответствующее сообщение.
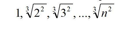
2.Составить блок-схему вычисления суммы и произведения ряда(смотрите изображение)
Приложения:

Ответы
Ответ дал:
0
Блок-схемы во вложениях.
Приложения:


Вас заинтересует
2 года назад
3 года назад
3 года назад
9 лет назад
9 лет назад
10 лет назад