Ответы
Ответ дал:
0
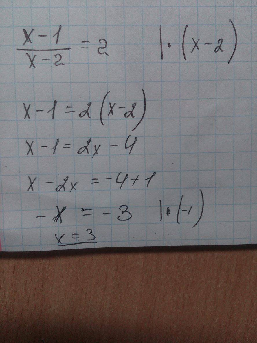
(x-1)*1=(x-2)*2
x-1=2x-4
x-2x=-4+1
x=3
ответ :3
А теперь ответь,как тут задавать вопросы?
x-1=2x-4
x-2x=-4+1
x=3
ответ :3
А теперь ответь,как тут задавать вопросы?
Ответ дал:
0
...................................
Приложения:
Вас заинтересует
2 года назад
2 года назад
3 года назад
3 года назад
9 лет назад
9 лет назад
10 лет назад