• Предмет: Математика
  • Автор: sebtetfGedrtgrtuh
  • Вопрос задан 9 лет назад

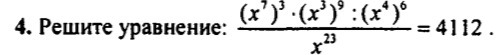
Решите уравнение пж пж

Приложения:

Ответы

Ответ дал: ФакторСтраха1
0

 frac{x {}^{21} times x {}^{27} div x {}^{24}   }{x {}^{23} }  = 4112
x = 4112
Вас заинтересует