• Предмет: Алгебра
  • Автор: КаориУчиха
  • Вопрос задан 9 лет назад

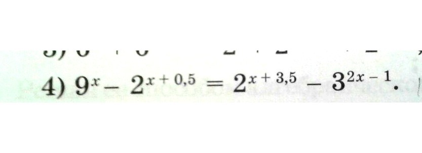
Помогите решить уравнение, пожалуйста. Во вложениях.

Приложения:

Ответы

Ответ дал: ВладимирБ
0
Решение смотри на фото
Приложения:
Вас заинтересует