Железо массой 1,12г растворили в серной кислоте. Вычислить объём образовавшегося водорода! Помогите плиз!
Ответы
Ответ дал:
0
1.12 х л
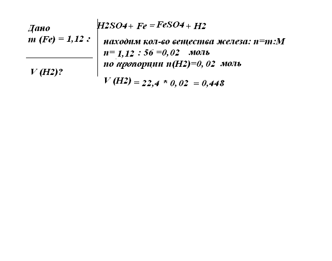
Fe +H2SO4=FeSO4+H2
56г 22,4л
х=1,12*22,4/56=0,448
Fe +H2SO4=FeSO4+H2
56г 22,4л
х=1,12*22,4/56=0,448
Ответ дал:
0
______________________________
Приложения:

Вас заинтересует
2 года назад
2 года назад
8 лет назад
8 лет назад
10 лет назад
10 лет назад