• Предмет: Геометрия
  • Автор: myakish09
  • Вопрос задан 11 лет назад

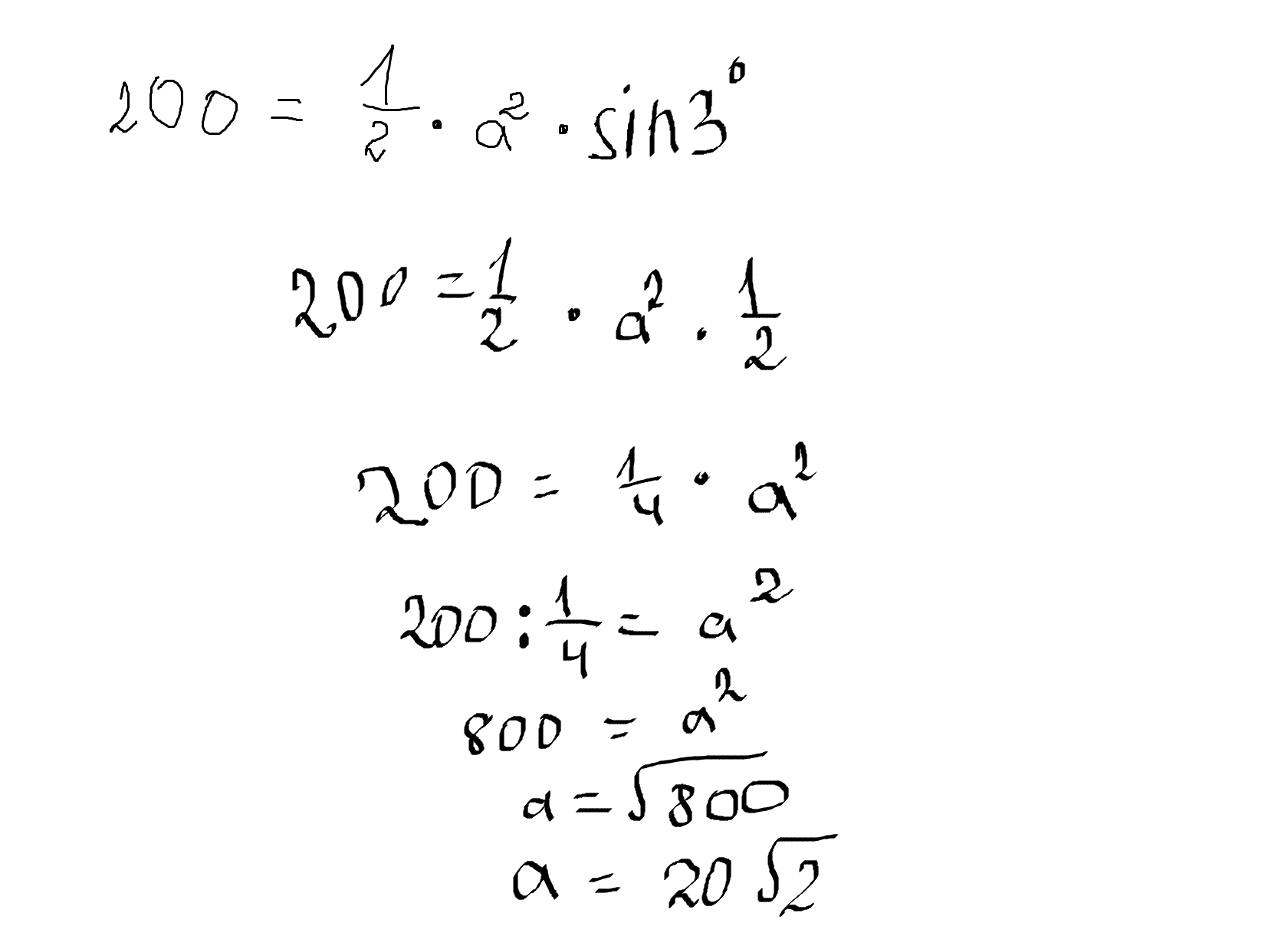
Угол при вершине,противолежащей основанию равнобедренного треугольника ,равен 30 градусов.Найдите боковую сторону треугольника если его площадь равна 200см2.

Ответы

Ответ дал: Erik777
0
я мягко говоря не уверен, но если подставить в формулу площади 200 то получится вот так
Приложения:
Ответ дал: Erik777
0
да я тоже... сначала думал, что раз с корнем, значит неправильно)))
Вас заинтересует