• Предмет: Алгебра
  • Автор: 1Просто1Я
  • Вопрос задан 11 лет назад

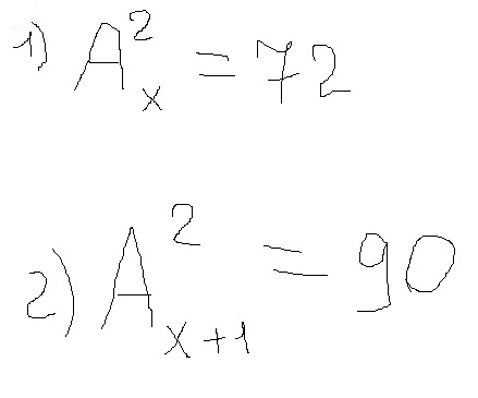
найдите натуральное число х для которого выполняется равенство.Делается через размещение. вот формула 

Приложения:

Ответы

Ответ дал: Artem112
0
A_x^2=72
\
x(x-1)=72
\
x^2-x-72=0
\
D=1+288=289
\
x_1 <0
\
x_2= frac{1+17}{2}=9
Ответ: 9
A_{x+1}^2=90 \ (x+1)x=902 \ x^2+x-90=0 \ D=1+360=361 \ x_1 <0 \ x_2= frac{-1+19}{2}=9
Ответ: 9

Вас заинтересует