• Предмет: Алгебра
  • Автор: jheh8
  • Вопрос задан 9 лет назад

Решить уравнение.Пожалуйста с пояснением,желательно фото.

Приложения:

Ответы

Ответ дал: N777A
0
1)Переносим √(x-2) в правую часть, далее решаем.
Ответ: 18
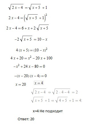
2) Ответ: 20
3) Ответ: 2/3, 0.75
Приложения:
Ответ дал: N777A
0
Я добавил ещё 2 фото с максимальным пояснением именно второго и третьего
Ответ дал: jheh8
0
извините у меня неотобразилось
Ответ дал: jheh8
0
можно попросить решить еще 2 задания
Ответ дал: jheh8
0
у меня в профиле есть еще 2 вопроса
Ответ дал: jheh8
0
помогите пожалуйста
Вас заинтересует