Помогите решить пожалуйста
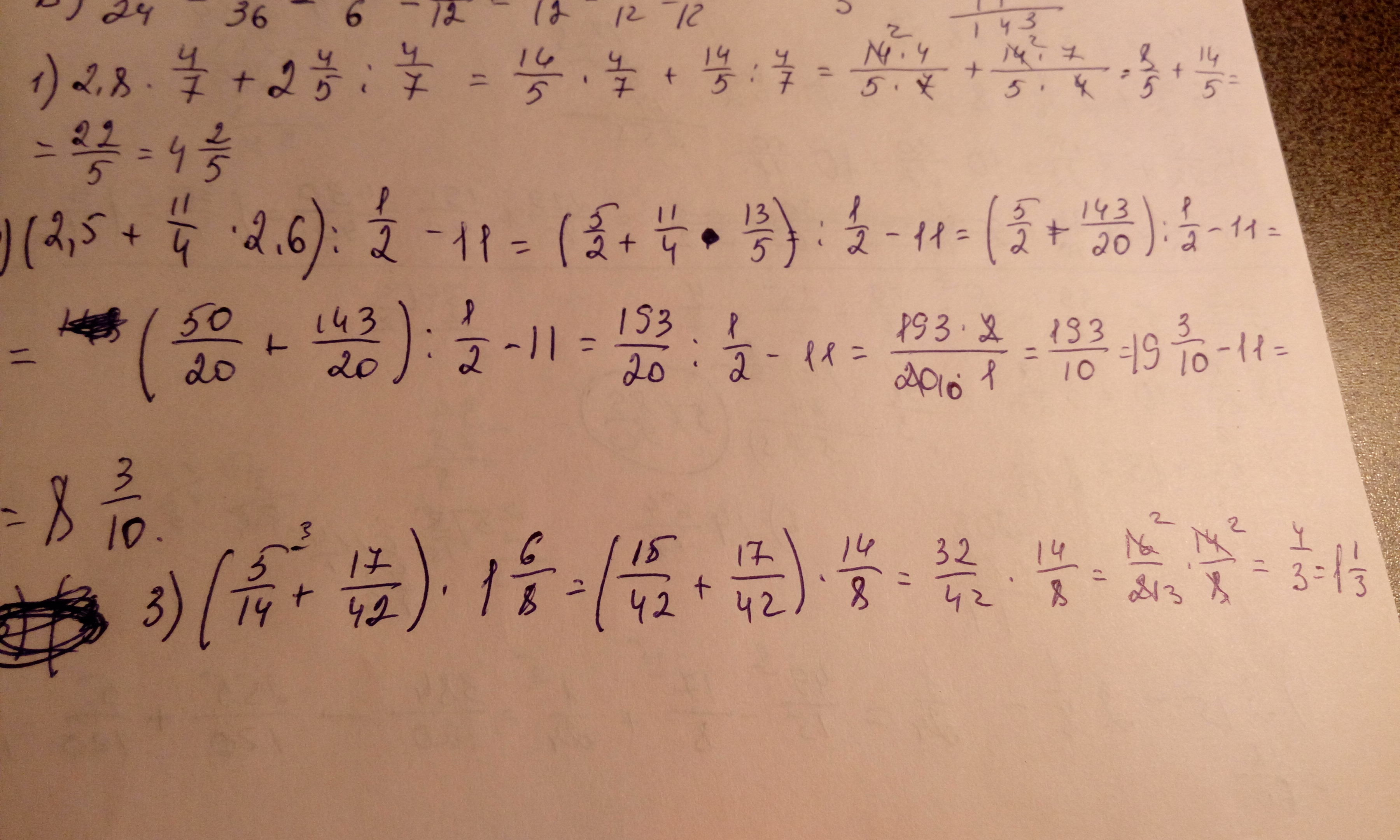
1)2.8 * 4/7 + 2 4/5 : 4/7
2) ( 2.5 + 1 1/4 * 2.6 ) : 1/2 - 11
3) ( 5/14 + 17/42 ) * 1 6/8
Помогите срочно надо!
Ответы
Ответ дал:
0
1)14/5*4/7+14/5:4/7=8/5+14/5=22/5=4_2/5
2)
2)
Приложения:

Вас заинтересует
2 года назад
2 года назад
3 года назад
3 года назад
9 лет назад
10 лет назад