• Предмет: Алгебра
  • Автор: ДинаМингазова
  • Вопрос задан 9 лет назад

Помогите с примерами, заранее спасибо!

Приложения:

Ответы

Ответ дал: гюйс
0
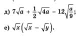
д). ...........=7|/а +|/а - 4|/а=4|/а

е) ...........=х - |/(ху)
Вас заинтересует