Ответы
Ответ дал:
0
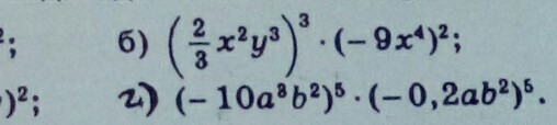
Ответы и решение на фото
Приложения:

Ответ дал:
0
спасибо))
Вас заинтересует
2 года назад
3 года назад
3 года назад
9 лет назад