Ответы
Ответ дал:
0
Все очень легко и просто))
Приложения:

Ответ дал:
0
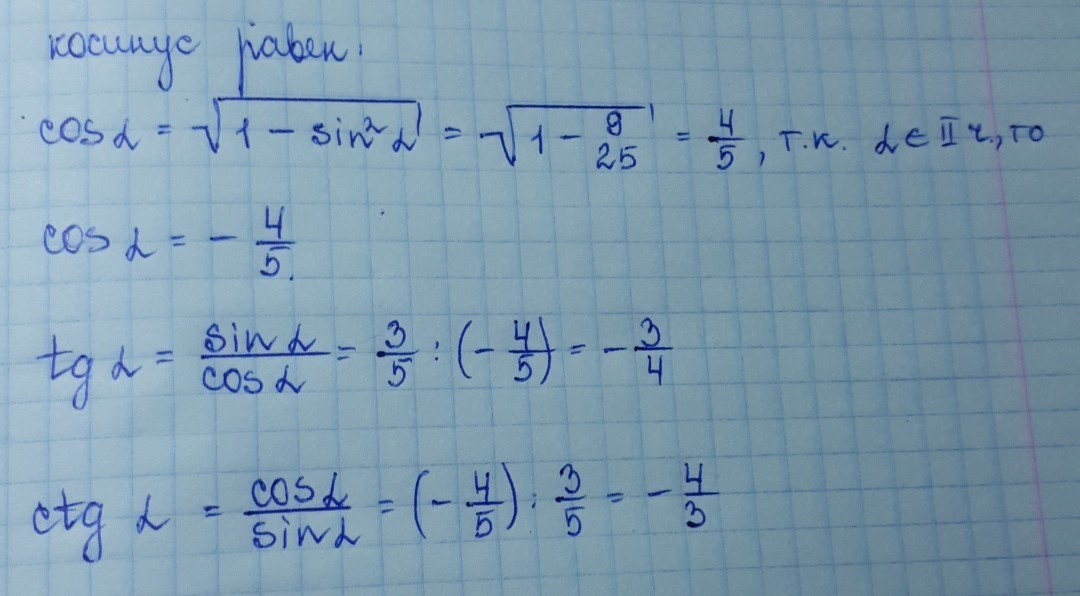
откуда в первом взялось 1-8/25
Ответ дал:
0
Там не 1- 8/25, а 1- 9/25. Через основное тригонометрическое тождество.
Вас заинтересует
2 года назад
2 года назад
3 года назад
3 года назад
9 лет назад
9 лет назад
10 лет назад