• Предмет: Математика
  • Автор: selena25343
  • Вопрос задан 9 лет назад

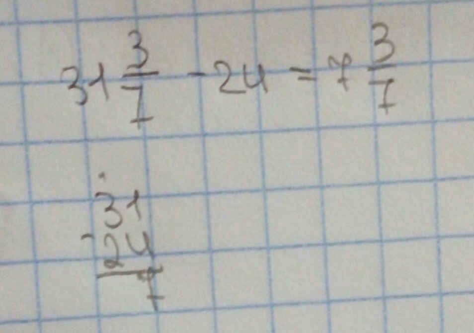
31 3/7 - 24
С РЕШЕНИЕМ!!!!

Ответы

Ответ дал: kamilla232
0
31 3/7 - 24= 7 3/7 (вроде)
Ответ дал: selena25343
0
Ну а как ты это решил???
Ответ дал: kamilla232
0
ты от 31 отнимаешь 24 и к ответу добавляешь 3/7
Ответ дал: ВесельчакПомошник
0
да из целой части мы вычитаем 24 а дробную оставляем
Ответ дал: ВесельчакПомошник
0
вот так вроде
если я не правильно поняла слрри
Приложения:
Ответ дал: kamilla232
0
Да, правильно))
Вас заинтересует