• Предмет: Математика
  • Автор: Jatlie
  • Вопрос задан 9 лет назад

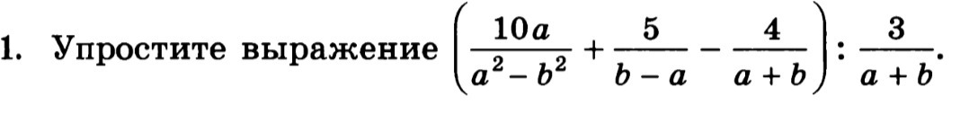
Помогите пожалуйста с алгеброй
Очень прошу

Приложения:

Ответа на этот вопрос пока нет. Попробуйте найти его через форму поиска.

Вас заинтересует