Ответы
Ответ дал:
0
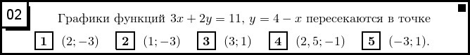
ответ: в точке (3;1)...
Приложения:

Вас заинтересует
2 года назад
3 года назад
3 года назад
9 лет назад
9 лет назад
10 лет назад