• Предмет: Алгебра
  • Автор: dsfsksgsms
  • Вопрос задан 9 лет назад

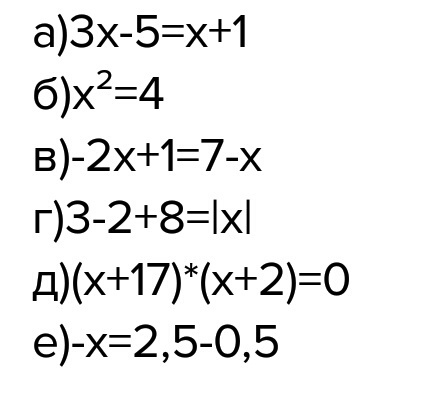
Будет ли уравнение верным про x=-2

Приложения:

Ответа на этот вопрос пока нет. Попробуйте найти его через форму поиска.

Вас заинтересует