Помогите, пожалуйста, по алгебре!!!
Задание 1. Упростите выражения:
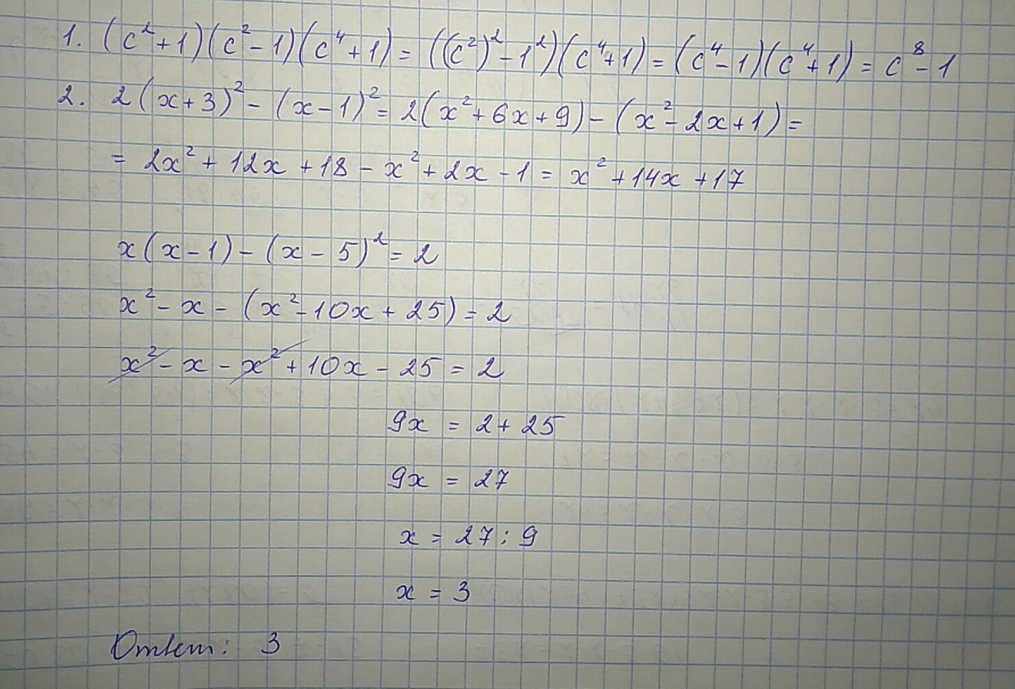
1. (с^2 + 1)(с^2 - 1)(с^4 + 1)
2. 2(x + 3)^2 - (x - 1)^2
Задание 2. Решите уравнение:
х(х - 1) - (х - 5)^2=2
Ответы
Ответ дал:
0
Ответы и решение на фото
Приложения:

Вас заинтересует
2 года назад
2 года назад
3 года назад
9 лет назад
9 лет назад