Ответы
Ответ дал:
0
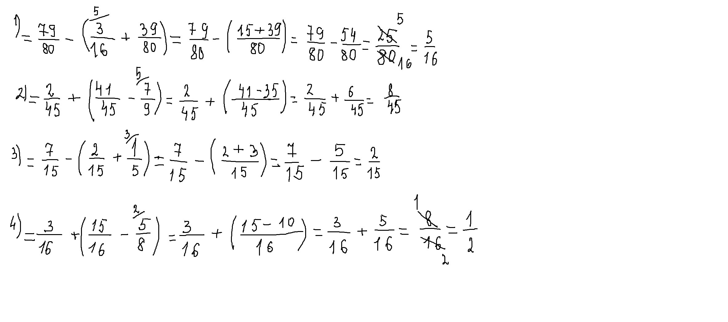
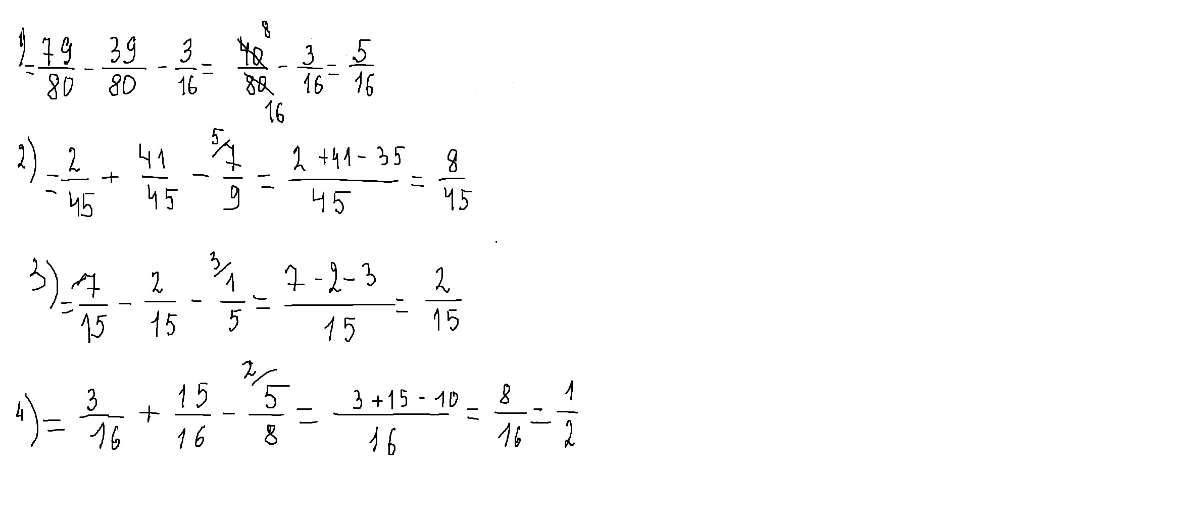
приводим дроби к общему знаменателю,сверху над дробью написан допол.множитель,а потом складываем или отнимаем числители,а знаменатели остаются без изменения.
а если проходили правило раскрытия скобок,то если перед скобкой стоит знак "-",то все слагаемые,которые стоят в скобках изменяют свой знак на противоположный,т.е "-" меняется на "+", и наоборот "+" меняется на "-"
а если проходили правило раскрытия скобок,то если перед скобкой стоит знак "-",то все слагаемые,которые стоят в скобках изменяют свой знак на противоположный,т.е "-" меняется на "+", и наоборот "+" меняется на "-"
Приложения:
Ответ дал:
0
а ты думаешь писать мышкой,это также быстро как на клавиатуре?
Ответ дал:
0
а ты с мышкой
Ответ дал:
0
а как же в paint еще писать?
Ответ дал:
0
а скоро ты сделаеш
Ответ дал:
0
спс
Вас заинтересует
2 года назад
9 лет назад