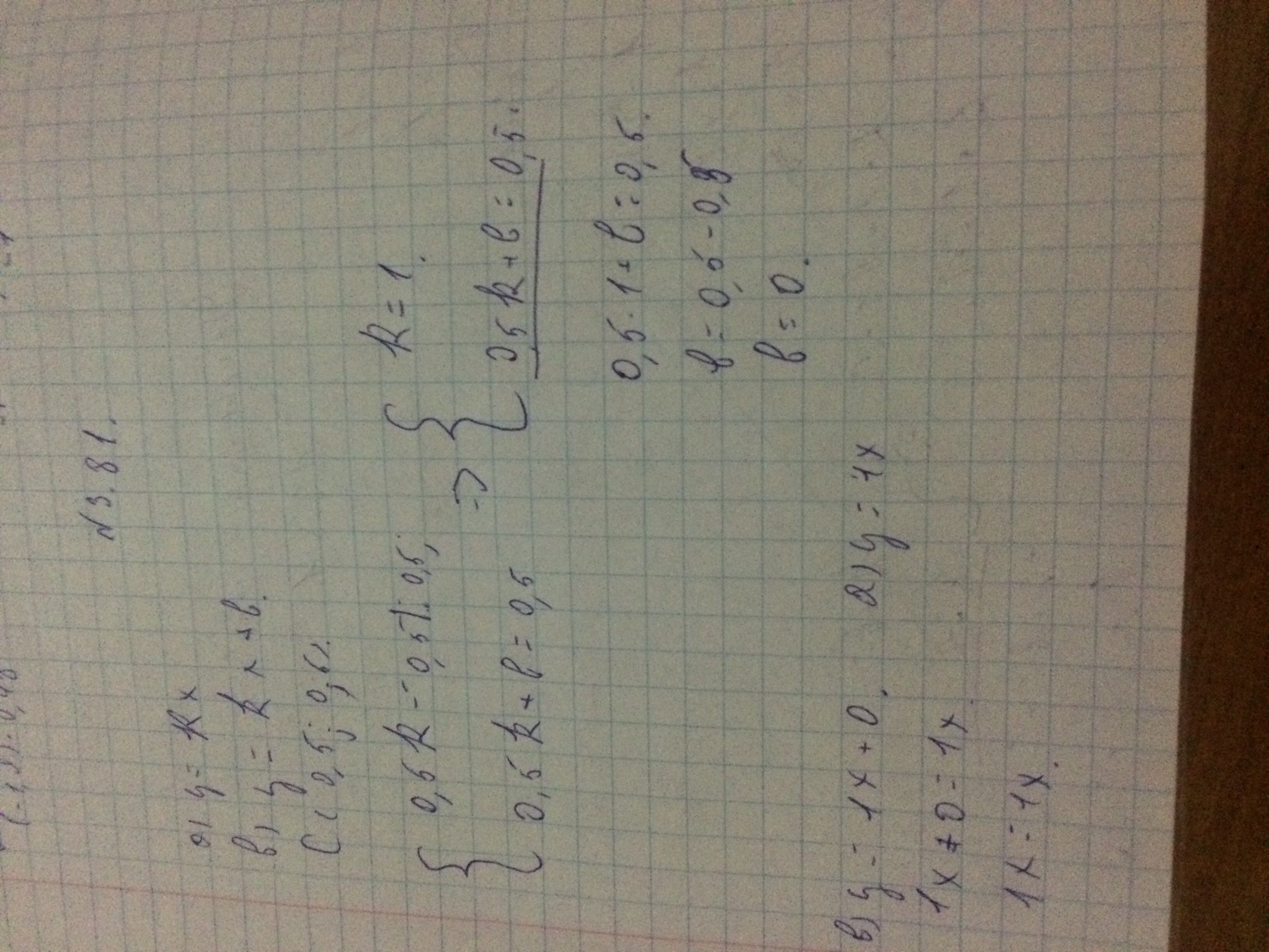
по рисунку 3.21 напишите уравнение прямых a и b. по графику найдите приблеженные значения координат точки С, проверте точность аналетическим способом.
Ответы
Ответ дал:
0
Boт это задача по алгебре для 7 классов
Приложения:

Вас заинтересует
2 года назад
2 года назад
3 года назад
9 лет назад
9 лет назад
10 лет назад
10 лет назад