• Предмет: Алгебра
  • Автор: Bars1995
  • Вопрос задан 9 лет назад

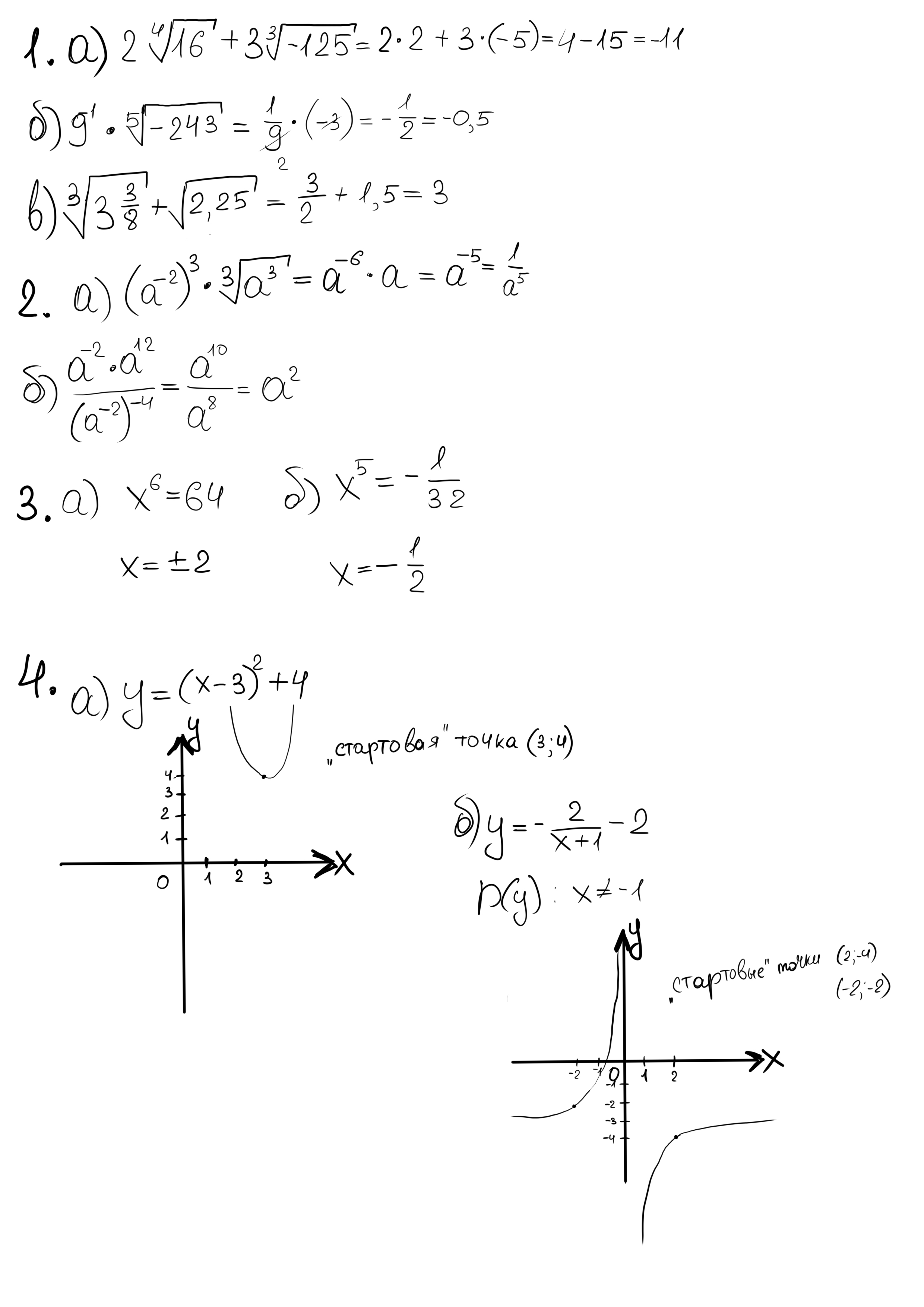
Решите 1, 2 и 3 задание. Срочно!

Приложения:

Ответы

Ответ дал: Kirik009
0
в последнем графике они упираются в -3 и ось ординат
Приложения:
Ответ дал: Bars1995
0
3 вы делали, там выходит 2 корня? с плюсом и монусом?
Ответ дал: Bars1995
0
минусом*
Ответ дал: Bars1995
0
спасибо вам огромное!
Вас заинтересует