Ответы
Ответ дал:
0
вроде все правильно, но лучше проверить
Приложения:
Ответ дал:
0
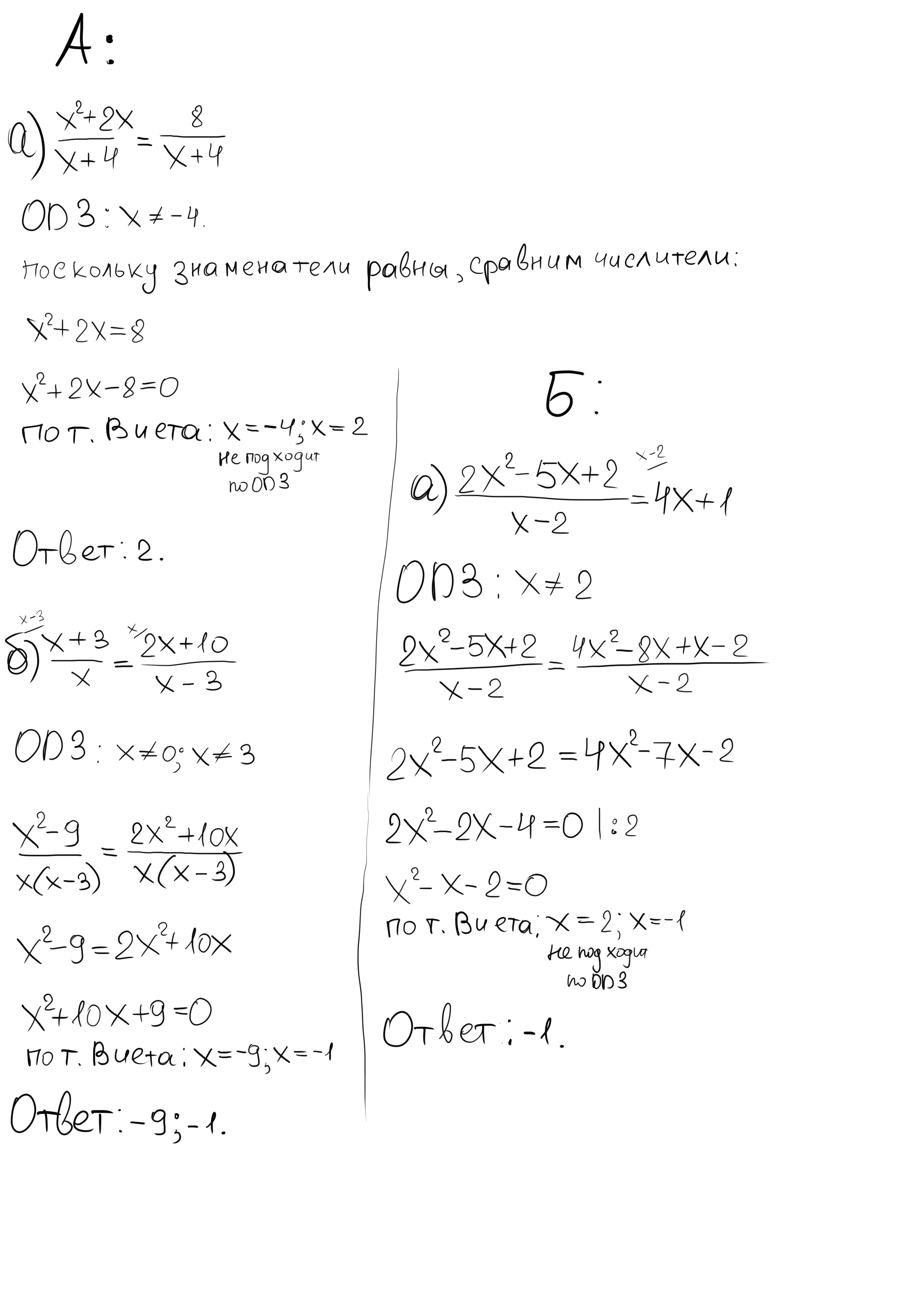
A
х^2+2x/x+4 = 8/x+4
x^2 + 2x - 8 = 0
D = 4 - 4*-8 = 4+32= 36 √D = 6
x1 = (-2+6)/2 = 4/2 = 2
x2 = (-2-6)/2 = -8/2 = - 4
---------------------------------
x+3/x = 2x+10/x-3
(x+3)(x-3) = x(2x+10)
x^2-9 = 2x^2+10x
x^2-2x^2-10x-9 =0
-x^2-10x-9 = 0
x^2+10x+9 = 0
D = 100 - 4*9 = 100-36 = 64 √D= 8
x1= (-10+8)/2= -1
x2 = (-10-8)/2 = - 9
--------------------------------------------------------------------------------------
Б
=
2х^2 - 5x +2 = (4x+1)(x-2)
2x^2 - 5x + 2 = 4x^2 - 8x +x - 2
2x^2 - 5x + 2 - 4x^2 +7x +2 = 0
-2x^2+2x + 4 = 0
x^2 - x - 2 = 0
D = 1 - 4*- 2 = 1 + 8 = 9 √D= 3
x1 = (1+3)/2 = 2
x2 = (1 - 3)/2 = - 1
------------------------------------
=
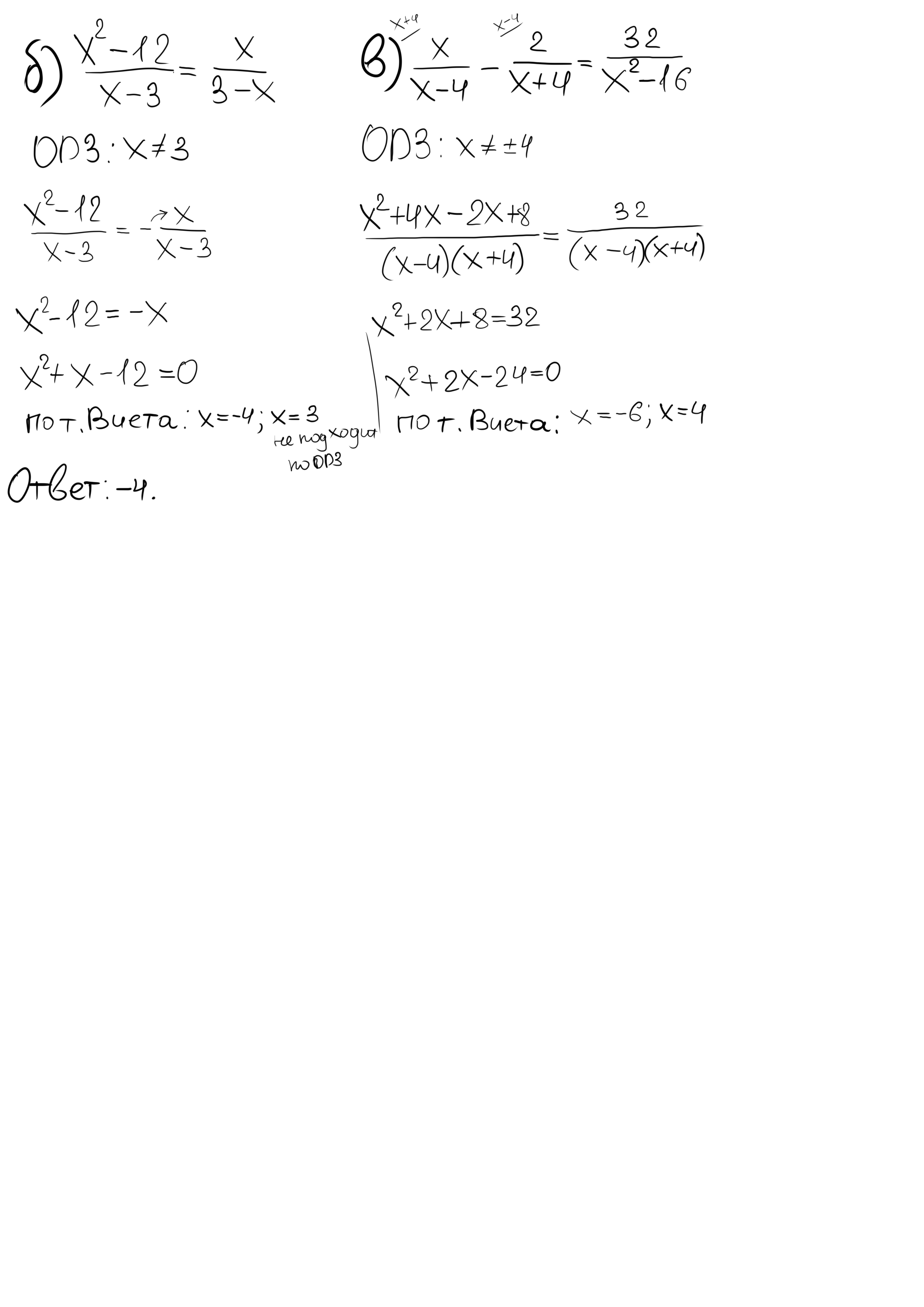
x^2 - 12/x-3 = - x/x-3
x^2 - 12 + x = 0
x^2 + x - 12 = 0
D = 1 - 4*-12 = 1 + 48 = 49 √D = 7
x1 = (-1 + 7)/2 = 3
x2 = (-1-7)/2 = - 4
------------------------------------------------------
=
x(x+4) - 2(x-4) = 32
x^2 + 4x - 2x + 8 - 32 = 0
x^2 +2x -24 = 0
D = 4 - 4*-24 = 4 + 96 = 100 √D = 10
x1 = (-2 + 10)/2 = 4
x2 = (-2 -10)/2 = - 6
------------------------------------------------------------------------------------
х^2+2x/x+4 = 8/x+4
x^2 + 2x - 8 = 0
D = 4 - 4*-8 = 4+32= 36 √D = 6
x1 = (-2+6)/2 = 4/2 = 2
x2 = (-2-6)/2 = -8/2 = - 4
---------------------------------
x+3/x = 2x+10/x-3
(x+3)(x-3) = x(2x+10)
x^2-9 = 2x^2+10x
x^2-2x^2-10x-9 =0
-x^2-10x-9 = 0
x^2+10x+9 = 0
D = 100 - 4*9 = 100-36 = 64 √D= 8
x1= (-10+8)/2= -1
x2 = (-10-8)/2 = - 9
--------------------------------------------------------------------------------------
Б
=
2х^2 - 5x +2 = (4x+1)(x-2)
2x^2 - 5x + 2 = 4x^2 - 8x +x - 2
2x^2 - 5x + 2 - 4x^2 +7x +2 = 0
-2x^2+2x + 4 = 0
x^2 - x - 2 = 0
D = 1 - 4*- 2 = 1 + 8 = 9 √D= 3
x1 = (1+3)/2 = 2
x2 = (1 - 3)/2 = - 1
------------------------------------
=
x^2 - 12/x-3 = - x/x-3
x^2 - 12 + x = 0
x^2 + x - 12 = 0
D = 1 - 4*-12 = 1 + 48 = 49 √D = 7
x1 = (-1 + 7)/2 = 3
x2 = (-1-7)/2 = - 4
------------------------------------------------------
=
x(x+4) - 2(x-4) = 32
x^2 + 4x - 2x + 8 - 32 = 0
x^2 +2x -24 = 0
D = 4 - 4*-24 = 4 + 96 = 100 √D = 10
x1 = (-2 + 10)/2 = 4
x2 = (-2 -10)/2 = - 6
------------------------------------------------------------------------------------
Приложения:
Вас заинтересует
3 года назад
3 года назад
9 лет назад
10 лет назад