Ответы
Ответ дал:
0
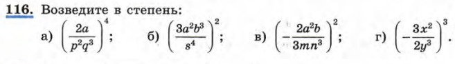
а) (16a^4)/(p^8*p^12)
б) (9a^4*b^6)/(s^8)
в) (4a^4*b^2)/(9m2*n^6)
г) -(27x^6)/(8y^9)
При возведении степени в степень, показатели степени перемножаются.
б) (9a^4*b^6)/(s^8)
в) (4a^4*b^2)/(9m2*n^6)
г) -(27x^6)/(8y^9)
При возведении степени в степень, показатели степени перемножаются.
Ответ дал:
0
а што значит ^
Ответ дал:
0
а последни точно правельно.
Ответ дал:
0
????
Вас заинтересует
2 года назад
2 года назад
3 года назад
3 года назад
9 лет назад
10 лет назад