• Предмет: Алгебра
  • Автор: Ilya6fan
  • Вопрос задан 9 лет назад

Помогите решить задание по алгебре 10 класс !!!!
Вот оно
9^3+√2*3^1-√2*3^-4-√2=?

Ответы

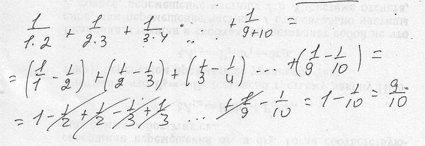
Ответ дал: SofaGed
0
Держи
Если что
Сама
Так-что
Вот 
Так
Вот
Приложения:
Вас заинтересует